HAEMATINICS are the agents used for formation of blood to treat various types of anaemia’s. These include: Iron, Vitamin B12 and Folic Acid.
ANAEMIA- Decreased capacity of RBCs to carry oxygen to tissues.
- Anaemia occurs when the balance between production and destruction of RBCs is disturbed by:
- Blood loss (acute or chronic),
- Impaired red cell formation due to:
- Deficiency of essential factors, i.e. iron, vitamin B12, folic acid.
- Bone marrow depression (hypoplastic anaemia), erythropoietin deficiency.
- Increased destruction of RBCs (haemolytic anaemia) - Iron deficiency occurs due to:
- Malnutrition
- Loss
- Congenital atransferrinemia (inability to release iron from transferrin) - Types of Anaemia:
- Microcytic hypochromic–mainly due to iron deficiency.
- Macrocytic/megaloblastic –mainly due to deficiency of vitamin B12 and folic acid
- Haemolytic Anaemia
- Pernicious Anaemia –decreased intrinsic factor
The production of circulating erythrocytes, leukocytes and platelets from undifferentiated stem cells, is called haematopoiesis.
It requires:
- Iron –for Hb formation
- Vitamin B12
- Folic acid
- Hematopoietic growth factors
- Proteins that regulate the proliferation and differentiation of hematopoietic cells.
Iron is an essential body constituent. Total body iron in an adult is 2.5-5 g (average 3.5 g). It is more in men (50 mg/ kg) than in women (38 mg/kg). - It is distributed into:
- Haemoglobin (Hb) : 66%
- Iron stores as ferritin and haemosiderin : 25%
- Myoglobin (in muscles) : 3%
- Parenchymal iron (in enzymes, etc.) : 6%
DAILY REQUIREMENT OF IRON
To make good average daily loss, iron requirements are:
- Adult male : 0.5--1 mg (13µg/kg)
- Adult female (menstruating) :1-2 mg (21µg/kg)
- Infants : 60µg/kg
- Children : 25µg/kg
- Pregnancy : 3-5µg/kg
- Rich : Liver, egg yolk, oyster, dry beans, dry fruits, wheat germ, yeast.
- Medium : Meat, chicken, fish, spinach, banana, apple.
- Poor : Milk and its products, root vegetables.
- Acid: Acid enhances dissolution and reduction of ferric iron.
- Reducing Substances: Ascorbic acid reduces ferric iron and forms absorbable complexes
- Meat: Meat also facilitates iron absorption by increasing HCl secretion
- Pregnancy/ Menstruation: Due to increased iron requirement
- Phosphates: Phosphates are present in egg yolk.
- Phytates: Phytates occur in wheat and maize
- Alkalies: Alkalies form non-absorbable complexes as well and oppose the reduction
- Tetracyclines: Tetracyclines impede absorption.
- No mechanism is present for elimination of iron from body except exfoliation of intestinal cells. Trace amounts of iron are lost in faeces, urine, bile and sweat.
- Less than 1 mg/day of iron is lost.
Iron deficiency anaemia manifests as hypochromic, microcytic anaemia, in which: (i) Erythrocyte mean cells volume is low (ii) Mean cell Hb concentration is low
Causes:
A. People with increased iron requirements
- Infants
- Children during rapid growth
- Pregnant and lactating women
- Patients of chronic kidney disease (due to increased loss during haemodialysis)
- Gastrectomy [A gastrectomy is a medical procedure where all or part of the stomach is surgically removed].
- Generalized malabsorption
- Females, menstrual bleeding or during postmenopausal
- Males and most common site is GIT.
TREATMENT OF IRON DEFICIENCY
- Oral preparations can be used. Oral preparation is present in the form of salts like: Ferrous gluconate, Ferrous sulphate, Ferrous fumarate.
- Parenteral Therapy: Iron dextran, Sodium ferric gluconate complex, Iron sucrose.
- Adverse effect of oral iron preparation: Individuals differ in susceptibility like epigastric pain, heartburn, nausea, vomiting, staining of teeth, metallic taste, bloting, colic and Constipation is more common (believed to be due to astringent action of iron).
- Dose of iron in grams = 0.25 x (normal Hb – Patients Hb)
- Iron requirement (mg) = 4.4 x body weight (kg) x Hb deficit (g/dl)
[Hb = - Haemoglobin]
Bloat is any abnormal gas swelling, or increase in diameter of the abdominal area. As a symptom, the patient feels a full and tight abdomen, which may cause abdominal pain and is sometimes accompanied by increased stomach growling, or more seriously, the total lack of it.
Iron(II)sulphate or Ferrous Sulfate
Molecular formula: FeSO4• xH2OMolar mass: FeSO4•7H2O 278.02 g/mol
Synonym: Green vitriol, Iron vitriol, Copperas
![]() |
| FeSO4 |
![]() |
| FeSO4•7H2O |
Appearance: White crystals (anhydrous); White yellow crystals (monohydrate); Blue green crystals (heptahydrate)
Crystal structure: Orthorhombic (anhydrous); Monoclinic (heptahydrate);
Odor: Odorless
Taste: Astringents and metallic taste
Density: 3.65 g/cm3 (anhydrous); 3 g/cm3 (monohydrate); 1.895 g/cm3 (heptahydrate)
Melting point: 680°C (anhydrous); 300°C (monohydrate); 60–64°C (heptahydrate)
Solubility in water: Monohydrate: 44.69 g/100 mL (77°C); Heptahydrate: 15.65 g/100 mL (0°C); 20.5 g/100 mL (10°C); 29.51 g/100 mL (25°C); 39.89 g/100 mL (40.1°C); 51.35 g/100 mL (54°C)
Refractive index: 1.591 (monohydrate); 1.471 (heptahydrate)
In the finishing of steel prior to plating or coating, the steel sheet or rod is passed through pickling baths of sulfuric acid. This treatment produces large quantities of iron(II) sulfate as a byproduct.
Fe + H2SO4
→ FeSO4 + H2
2 FeS2 + 7 O2 + 2 H2O → 2 FeSO4 + 2 H2SO4
Reaction:
On heating, iron (II) sulfate first loses its water of crystallization and the original green crystals are converted into a brown colored anhydrous solid. When further heated, the anhydrous material releases sulfur dioxide and white fumes of sulfur trioxide, leaving a reddish-brown iron (III) oxide [Ferric oxide] at about 680˚˚°C.2 FeSO4 → Fe2O3 +
SO2 + SO3
6
FeSO4 + 3 H2SO4 + 2 HNO3 → 3 Fe2(SO4)3
+ 4 H2O + 2 NO
6 FeSO4
+ 3 Cl2 → 2 Fe2(SO4)3 + 2 FeCl3
Upon exposure to air, it oxidizes to form a corrosive brown-yellow coating of "basic ferric sulfate", which is an adduct of iron(III) oxide and iron(III) sulfate:12 FeSO4 + 3 O2 → 4 Fe2(SO4)3 + 2 Fe2O3
Assay- Assay based on oxidation-reduction titration methods.
- Weight accurate about 0.5 gm of ferrous sulfate, dissolved in a mixture of 25 m of dilute sulfuric acid and 25 ml of freshly boiled and cooled water, and titrate with 0.02M Potassium permanganate.
- Each ml 0.02M Potassium permanganate is equivalent to 27.802 mg of FeSO4•7H2O (ferrous sulfate heptahydrate)
- Each ml 0.02M Potassium permanganate is equivalent to 27.802 mg of FeSO4 (Anhydrous ferrous sulfate)
Uses
- Ferrous sulfate is a haematinic agents, it is used to treat and prevent iron deficiency anaemia.
- Ferrous sulfate was used in the manufacture of inks, most notably iron gall ink - Woodworkers use ferrous sulfate solutions to color maple wood a silvery hue.
- In horticulture it is used for treating iron chlorosis.
- Ferrous sulfate is sometimes added to the cooling water flowing through the brass tubes of turbine condensers to form a corrosion resistant protective coating.
- It is used in gold refining.
- Green vitriol is also a useful reagent in the identification of mushrooms.
Dose: 60 mg to 600 mg
Ferrous sulfate side effects
Note:
Properties
Ferrous sulfate side effects
- Constipation
- Upset stomach
- Black or dark colored stools or
- Temporary staining of the teeth
- Chloramphenicol
- Cimetidine
- Levodopa
- Methyldopa
- Penicillamine
Note:
- Hypochromic anemia is a generic term for any type of anemia in which the red blood cells (erythrocytes) are paler than normal. (Hypo- refers to less, and chromic means color.) A normal red blood cell will have an area of pallor in the center of it; it is biconcave disk shaped. In hypochromic cells, this area of central pallor is increased. This decrease in redness is due to a disproportionate reduction of red cell hemoglobin.
- PALLOR means an unhealthy pale appearance.
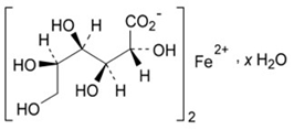
Ferrous gluconate
- Molecular formula: C12H22FeO14• xH2O
- Molar mass: FeSO4•7H2O 446.1 (anhydrous)
- Synonym: Ferrosi gluconas
Properties
- Appearance: A greenish-yellow to grey powder or granules
- Odour: Slight caramel odour
- Taste: Caramel test
- Melting point: 1880C
- Solubility: Freely but slowly soluble in water giving a greenish-brown solution, more readily soluble in hot water, practically insoluble in alcohol, but soluble in glycerine.
Uses
- Ferrous gluconate is effectively used in the treatment of hypochromic anemia.
- Ferrous gluconate is also used as a food additive when processing black olives.
- Common Side Effects: Constipation; darkened or green stools; diarrhea; loss of appetite; nausea; stomach cramps, pain, or upset; vomiting.
- Severe Side Effects: Severe allergic reactions (rash; hives; itching; difficulty breathing; tightness in the chest; swelling of the mouth, face, lips, or tongue); black, tarry stools; blood or streaks of blood in the stool; fever; severe or persistent nausea, stomach pain, or vomiting; vomit that looks like blood or coffee grounds.
Structure and functions of haemoglobin
- Haemoglobin is an oxygen carrying pigment, which is present in red blood cells.
- It has two parts (i) Heme which is a prosthetic group (ii) Globin protein.
- Heme containing proteins present in aerobic animals and concerned with the transport of oxygen.
- Heme part is same in all the animals; the difference is in the globin chains, which have different amino acids in different animals.
- Heme has one central iron, which is attached to four pyrrole rings. The iron is the forum of ferric ion. the pyrrole ring are connected by methylene bridges.
- Globulins are the protein parts and consist of four chains.
- In human there are two alpha chains and other two may be beta, delta, gamma or epsilon depending on the type of haemoglobin.
- As oxygen and carbon dioxide carrier.
- The red color of blood is due to haemoglobin.
- Buffering action.
- Haemoglobin plays an important role in the modulation of erythrocyte metabolism.
- Transportation



No comments:
Post a Comment